Суть Стратегия форекс «Середина» очень и очень проста.
Посмотрите на рисунок — все должно быть понятно уже из него.
Условия для заключения сделок:
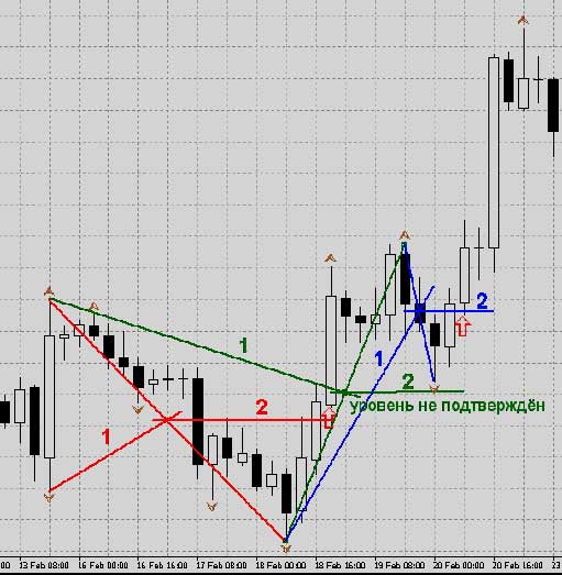
1) Линия №1 — своего рода «направляющая«, она указывает нам, куда будет открыта торговая позиция — на buy либо на sell.
Чертим ее от предшествующей максимальной вершины (либо нижней либо верхней).
Ее следует проводить к Середине следующей волны на графике (Для простоты определения середины волны можете вполне использовать Уровень Фибоначчи — 50%). Эта «средняя точка» или 50% Фибоначчи на графике и будет служить для нас уровнем пробития и закрытия свечи над или под ним и будет сигналом к открытию торговой позиции.
2) Уровень пробития показан на примерах, в качестве линии №2.
Если направляющая линия направлена вверх и указывает на buy, то уровень пробития соответственно должна пробить buy-вая свеча.
С sell свечой проделываем тоже самое, лишь уровень пробития должна пробить свеча на sell.
На рисунке 2 вы можете увидеть реальные случаи по валютной паре USD/CHF на 4-х часовом ценовом графике. Для торговли использовалась лучшая торговая платформа MetaTrader 4, на графиках которой очень просто производить графические разметки и построения. Красными стрелками отмечены точки входа в рынок (на цене открытия свечи).
Установка стоп-лосса и профита по стратегии «Середина»:
Стоп-лосс лучше всего ставить или под прошлый минимум 2-й волны (для позиции на Buy) либо максимум 2-й волны (для позиции на Sell).
Тейк-профит по желанию либо ставите на переписи хая 2-й волны либо просто используете трейлинг-стоп, что может быть гараздо выгоднее, причем лучше просто переставлять в ноль и если пробит максимум второй волны и цена пошла дальше, трейлингуйте при помощи трейлинг-стопа на безопасном расстоянии (в зависимости от интервала на котором вы торгуете, хотя стратегия «Середина» работает на всех валютных парах и всех тайм-фреймах) либо закрываете прибыль «с руки» когда пожелаете, либо же просто закрываете 50% позиции, а остальные 50% уже трейлингуете.
Советник форекс ZigZagProfiter_3_0 — снят с продаж |
- Отчет о торговле Советника форекс ZigZagProfiter_3_0- пара USDJPY (интервал M15):
- Отчет о торговле Советника форекс ZigZagProfiter_3_0- пара GBPUSD (интервал H1):







Спасибо за отличную систему,У меня вопрос,не подойдет ли индикатор зиг заг для определения максимальных и минимальных вершин???
Подойдет, конечно, но учтите, что он иногда перерисовывается…
Спасибо,за самый хороший сайт по теме работы на рынке,за своевременные и исчерпывающие ответы,и море полезной информации.
Уважаемый Админ,потратила много времени и используя зиг заг прогнала на истории эту тс по паре евро/доллар на тайме н1,и получила слив, да были хорошие входы(в период классичеких тендов),что бывает крайне редко.Были спорные(на одном уровне сигналы в разные стороны),но большинство минусовых.Подскажите, как модернизировать эту систему, может есть доп. условия на вход или принимать во внимание показания каких нибудь индикаторов? Мне интересна эта тс я буду благодарна за любую помощь.Спасибо.
Галина, к сожалению на данный момент ничего конкретного подсказать не могу, но обещаю подумать ! Если что, обязательно отвечу !
Галина, не совсем уверен, но как мне кажется — можно попробывать применить следующие фильтры:
1) Я думаю результат будет лучше если вы будете обращать внимание на дивергенции MACD и др.
2) важные уровни — уровни скопления цен.
3) Т.к. вероятнее всего слив идет в те моменты, когда на рынке консолидация, то я лично предлагаю брать во внимание валичину отката по Фибоначчи от последнего движения. Т.е. если прошло движение, то вероятнее всего цена пойдет дальше если откат был например от 38.2% ну и возвожно 50% (причем как мне кажется чем резче откат от этого уровня — тем сила рынка на продолжение больше).
2) А так же можно взять в расчет силу предыдущего движения (или например размер свечи большего порядка, т.е. если свеча больше 30-50 пунктов — принимаете сигналы, меньше 10-20 — игнорируете).
Спасибо за советы, обязательно воспользуюсь ими.
Поступил в продажу Советник форекс ZigZagProfiter_2_2 — цена от 10 $, отчеты о торговле — очень хорошие ! Скачать отчет за 2008-2009 годы можно в конце стратегии “Середина”
При оптимизации советника были внесены дополнительные фильтры, которые позволяют зарабатывать по стратегии с минимальними просадками.
Обновлен до версии 3.0 Советник форекс ZigZagProfiter_3_0 !
Скачать отчет за 2009 год можно в конце стратегии форекс “Середина”
Здравствуйте Алексей. Установил ZigZagProfiter по JPY на тот же счет, где торговал ZigZagProfiter по GBP, и с тех пор ( примерно месяц ) последний не вступал в торговлю. Не подскажете почему? Может надо в одном из советников изменить Magic?
Валерий, Magic конечно можете поменять, но я не думаю что дело в нем…
Попробуйте удалить советники ZigZagProfiter, перегрузить терминал Metatrader 4 и установить советники снова, если не получится — переустановите терминал Metatrader 4. Ну и в крайнем случаи обратитесь к программисту на его координаты — они есть в описании с советником.
Алексей, вопрос снимается, разобрался. Только- что ZigZagProfiter открыл позицию- купил фунт. Результаты положительные. Спасибо.
Здравствуйте Алексей.
А если в этой стратегии использовать Зигзаг, то успеет ли он сформироваться?
Т.е. пик если на продажу и наоборот.
Если да, то какие параметры использовать?
Спасибо
Alex, ZigZag сформироваться успеет. Параметры: 12, 5, 3
Обновлены отчеты и настройки для советника форекс ZigZagProfiter_3_0 !
Новые отчеты смотрите в конце стратегии форекс «Серидина»
Всем, кто оставлял положительный отзыв после покупки советника форекс в магазине Плати.ру, получат данные настройки на свой e-mail, указанный при покупке в течении суток после публикации комментария !
Здравствуйте Алексей. Скажите, пожалуйста, настройки которые поставляються с советником используються только на 5 знаках? А для 4 знаков будут настройки?
Денис, настройки советника ZigZagProfiter универсальны и подходят для Брокеров форекс с 4-мя знаками и с 5-ю знаками без изменения !
Алексей, хотел купить советник ZigZagProfiter, но на сайте указанно, что товар временно закончился……..когда появится данный советник в продаже и с чем связанна данная формулировка (не мог же он закончиться на складе)))?????
Сергей, советник форекс ZigZagProfiter снят с продаж, т.к. прибыли в последнее время он не приносил!
Очень интересная торговая система , а в чем именно минус этой т с??? я прогнал по истории эту тс, уж слишком много прибыльных сделок) неужели так и есть что все гениальное просто)в чем именно можно проколоться???
Александр, советник форекс не показал в итоге стабильность этой стратегии форекс
Алексей практически всё понятно кроме того что означает на рис.2 и рисунком ниже уровень входа не потдверждён?
Sergei, «не подтвержден» — значит сигнала для входа в рынок не было, просмотрите все условия стратегии форекс
алексей немоглибы вы сделать видео коментарий к этой стратегии?
и большое спасибо за сайт и прогнозы!
руслан, к сожалению времени на видео по прошлым стратегиям форекс пока нет, но если будет возможность, обязательно его сделаю…
Спасибо очень интересная стратегия, чем то напоминает волновой анализ, мне кажется лучше брать за первую волну именно импульсную волну. Не подскажите на каком тайм фрейме эта стратегия работает?
Aigul, хорошие тесты советник показывал когда-то на M15 и H1 интервале. Но по большому счету интервал может быть любой!
Интересно, а на данный момент советник не тестировали? Как говорится, всё течёт, всё изменяется.