Сегодня мы рассмотрим еще одну достаточно важную и очень часто появляющуюся на графиках валютных пар форекс фигуру графического анализа — Паттерн «Вымпел» бычий и медвежий; а так же рассмотрим его отличия от других, похожих на него фигур технического анализа, их отличия и стратегии заключения сделок на рынке форекс, при формировании данной формации.
Напомню, что раньше мы с вами рассматривали уже 2 паттерна форекс: Флаг + Треугольник и рассматривали как заключать сделки по этим 2-м моделям. Рассматриваемые сегодня модели имеют некоторые общие свойства с флагом и треугольниками и сейчас мы рассмотрим их более подробно.
Описание графической модели «Вымпел»:
Это классическая фигура технического и в частности графического анализа, очень похожая на симметричный треугольник (то есть фигура является так же симметричной), но с гораздо меньшим временем формирования, причем линии тренда, построенные по максимумам и минимумам фигуры резко сходятся.
А от флага у этой фигуры так же есть общая черта: Вымпел — это так же фигура продолжения тенденции на рынке! То есть это тот же флаг, слегка направленный против флагштока, но нижняя линия его не параллельна верхней, а сходится как у треугольника. И наличие именно этого флагштока и отличает так же Вымпел от Симметричного треугольника.
Вымпел бывает 2-х видов:
- Бычий — флагшток направлен вверх и вымпел расположен на его максимуме (пример на рисунке выше).
- Медвежий — флагшток направлен вниз, и вымпел сформирован на минимуме движения.
Стратегия форекс торговли по модели «Вымпел»:
1) На графике присутствует явно выраженный флагшток или импульс
2) На вершине или на минимуме формируется фигура, напоминаящая именно симметричный треугольник, но достаточно быстро формирующаяся и напоминающая обычный «вымпел«
3) Проводим по минимумам этого вымпела линию тренда и по максимума так же линию тренда, в результате получаем маленький треугольник, наподобии как на графике ниже
4) Заключать сделки обычно лучше уже после пробоя одной из линий тренда в сторону продолжения движения, по отношению к флагштоку:
— можно по отложенному ордеру Бай-стоп для Бычьего вымпела или селл-стоп для медвежьего
— после уже свершившегося пробоя и закрытия свечи того интервала, на котором торгуете выше или ниже паттерна (например если это часовой, тогда и на открытии следующего часа заключаем сделку в сторону пробоя)
— на ретесте пробитой линии тренда вымпела — это лучший вариант сделок, хотя он конечно не всегда бывает.
5) Устанавливаем стоп-лосс как минимум ниже или выше предыдущего локального минимума или максимума сформированной графической модели.
6) Тейк-профит устанавливаем как минимум на расстояние, равное самой широкой стороне паттерна. Или на важный уровень сопротивления для цены, согласно правил графического анализа форекс. Идеальный вариант — профит равен высоте флагштока (смотрите первый рисунок сверху).
Форекс видео — стратегия торговли Вымпела:
Не смотря на то, что знание рассмотренного паттерна конечно помогает торгующему трейдеру в торгове, но и даже если вы просто используете правила торговли графических моделей на пробое трендовой линии, то точно так же можете прибыльно торговать эту графическую модель, так как все абсолютно графические модели торгуются одинаково.



Доброго времени суток! По этой стратегии планируется создание советника?
Здравствуйте Алексей!
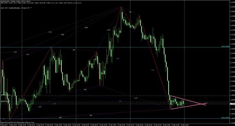
Можно сказать что это патерн вымпел?
Sting, да я думаю это вымпел и есть — все признаки: резкое движение — флагшток, маленький по времени треугольник в виде вымпела на минимуме. Хотя возможно формирование и флага в итоге!
Аnton, я думаю по этой стратегии форекс советника форекс не будет, так как пока никто из программистов так и не написал ни одного советника форекс по графическим моделям форекс…
Здравствуйте Алексей! можно ли применить фибо к данной фигуре?
aleksejj, в этом паттерне уровни Фибоначчи не особо применимы для поиска точки входа, но можно использовать расширения Фибоначчи для поиска точки фиксации прибыли, например 1,382 или 1,618 от максимальной части вымпела.
и часто ТАКОЕ случается?
byzgaev, не часто, но бывает, для этого и существуют стоп-лоссы
можно ли входить в рынок, если свеча пробила линии треугольника, но закрылась внутри? . (т.е. цена вышла за пределы но потом направилась вниз)
aleksej, только пробой и закрытие вне вымпела дает сигнал на заключение сделки!
здраствуйте Алексей, можно ли считать , что на eur jpy образовался вымпел,
novichok, картинка не добавилась почему-то