Стратегия форекс «Метод Баговино» очень проста, торговля ведется на часовом графике (H1), на него нужно установить EMA (close) с периодом 5 и 21. А так же индикатор RSI с периодом 21. Все данные индикаторы есть в любом стандартном наборе терминала MetaTrader 4.
Принцип торговли по стратегии форекс «Метод Баговино»
1) В установках индикатора RSI устанавливаем уровень 50.
2) Как только 5 и 21 EMA пересекутся в направлении вверх, а индикатор RSI пересекает снизу вверх уровень 50 — открываем сделку на покупку (запомните — сделку нужно открывать только после закрытия часовой свечи и на открытии свечи нового часа !!!)
3) И напротив, как только EMA пересекаются на графике вниз, а индикатор RSI опускается ниже уровня 50 — открываем сделку на продажу (запомните — сделку нужно открывать только после закрытия часовой свечи и на отрытии свечи нового часа !!!) Самая лучшая ситуация, как только оба пересечения происходят одновременно (пересечение EMA и индикатор RSI пересекает уровень 50).
Эта стратегия форекс на истории показала около 85% прибыльных сигналов!
И вот тест за 2016-2017 год ⇒
Для работы можно выбрать любую валютную пару.
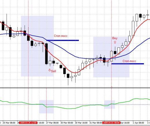
Примеры смотрите на рисунке:
В первый раз (ситуация слева) — сначала произошло пересечение мувингов, но заключили сделку мы лишь спустя несколько часов, после того, как RSI пересек уровень 50 и закрылся ниже него.
Во второй раз (ситуация справа) — пересечение мувингов и RSI произошло за 1 час, после закрытия часа была заключена сделка на покупку.
4) Стоп-лосс рекомендую ставть на ваше усмотрение (зависит от принятого вами ММ (риск менеджмента) — как считаете нужным, но я все-таки рекомендую рисковать не более чем 0,5-2% от депо по каждой сделке и стоп-лосс ставить: при покупке — ниже лоу прошлой свечи, при продаже — выше хая прошлой свечи).
5) Так же предлагаю использовать индикатор форекс Vegas 1 Hour для определения уровней для частичного закрытия профитных торговых позиций. К примеру, вы открыли торговую сделку по сигналу Баговино 0.3 лотами.
На первой линии можете закрыть 0.1 лот, а остальные ставите в уровень безубытка (хорошо для этого подходит «трейлинг-стоп универсальный«). На второй линии закрывайте еще 0,1 лота, а уже оставшуюся часть можете закрыть последней или можете просто подтянуть его в профит и пустить в «свободное плавание», трейленгуя оставшуюся позицию например на расстоянии 25-50 пунктов, надеясь поймать при этом трендовое движение.
Видео версия Стратегии форекс «Метод Баговино»:
Скачать шаблон для MetaTrader 4 — method_bagovino.tpl
Скачать индикатор форекс Vegas1hr

Скажите, так какая все-таки ЕМА — 21 или 12, в других источниках ЕМА 12?
Все-таки EMA (21), т.к. 12 практически не будет отличаться от EMA (5) — они будут почти сливаться.
a kakoj metod MA ?
Метод — Exponential
ne ploxaya strateqiya mojno rabotat
подскажите пожалуйста какие параметры нужны для индикатора Vegas 1 Hour?, что-то я не пойму как им пользоваться
Denis, параметры индикатора форекс Vegas 1 Hour те с которыми вы их скачали.
Но данный индикатор является не обязательным !
Как им пользоваться — читайте в описании этой стратегии.
u menya poyavilis voprosi a koqda viyti iz sdelki 4tob zarobotat max??? est pokazivyuwie etu siqnali ind-r ili osc-r vrode takoy
Mr.Yooo, выход из сделки — при появлении обратных сигналов.
Скажите, как определять уровень тейк-профита, если не пользоваться Vegas?
GIK, тейк-профит в данной стратегии не ставиться, а выходить из сделки нужно при появлении противоположных сигналов.
Если вы хотите установить четкий тейк-профит, тогда используйте расширения Фибоначчи (например 161.8%) или важные уровни.
Скажите, как пользоваться расширениями Фибоначчи. Я с ними сталкиваюсь впервые. Спасибо
GIK, рекомендую вам просмотреть «Стратегию форекс на RSI и расширении Фибоначчи 1.618» и комментарии к ней
Добрыйд день, подскажите то возникла проблема с етой стратегией, не могу сам разобраться, но бывают такие пересечения, пересек допустим на покупку, пошел вверх чуть, и опять пересечение и уже пошел на продажу….
как уберечься от таких случаев?
cava, старайтесь торговать только на трендовых рынках, а не флетовых и выбирайте побольше интервал, т.к. на малых интервалах всегда больше ложных сигналов.
ага, спасибо.
Интервал, так как вы и говорили h1
Извиняюсь за тупость «на него нужно установить EMA (close) с периодом 5 и 21»-где это находиться в MT4?
Евгений, EMA (close) с периодом 5 и 21 — это 2 экспоненциальные скользящие средние с периодом 5 и 21 (в Metatrader 4 — индикатор Moving Average), Применить к: Close, Метод MA: Exponential.
admin, а скажите а ви по етой стратегии торговали, то мне просто интерестно, вроде делаю все как надо,но 5-ордеров подряд минус, можете что то подсказать?
из практических советов?
cava, четко ничего посоветывать не могу, единственное — выбирайте интервал побольше, на малых много ложных сигналов. Или внесите какой-то фильтр для сделок.
посмотрел историю,стратегия неплохо работает на Х4,возможно имеется такого рода стратегия но под Х4,не пробовали оптимизировать настройки под данный таймфрейм?
polygam, пожалуйста, вы можете торговать по данной стратегии и на H4 ! Единственное, возможно прийдеться изменить немного периоды скользящих средних EMA, для получения более точных сигналов.
Подскажите пожалуйста, а на каких валютных парах лучше всего применять эту стратегию? или она мультивалютная?
Paul, в принципе — это мультивалютная стратегия, но никогда нет ничего идеального, поэтому под какие-то валютные пары нужно будет подредактировать параметры индикаторов форекс, чтоб получать более точные сигналы форекс
Подскажите, выходить из сделки нужно при появлении противоположных сигналов, только RSI или скользящих средних, или и тех и других?
Вадим, нужно смотреть по ситуации, при обратных сигналах всех индикаторов, выходить нужно точно. А если один из индикаторов указывает на обратные сигналы, то можно закрыть часть сделки или перевести сделку например в безубыток, или поставить на трейлинг-стоп.
У меня такой вопрос : иногда Вы пишете , что чтобы стратегия была прибыльной- надо изменить параметры индикаторов . А как подобрать удачно параметры ? Это делается наугад или есть какая — то программа для оптимизации стратегии ?
АЛЕКСЕЙ, оптимизировать стратегии форекс и параметры индикаторов к ней можно при помощи советников форекс, но для этого нужно этот советник по стратегии написать (это делают программисты). Или 2-й способ — тестирование стратегии и подбор параметров индикаторов форекс при помощи визуального метода тестирования (меняете параметры и смотрите на истории что происходит)
Здравствуйте,а есть ли советник по данной стратегии?
qwerg83, нет советника нет по этой стратегии форекс
Прошу объяснить какой -сдвиг- выставлять в этих двух MA? Такой же как и периоды?
Andrew Anon, если о сдвиге ничего не написано, значит его выставлять не нужно с скользящих средних
Rabotaet otlichno!!!
Работает великолепно. нужна терпение и следавть надо инструкциям
Алексей, здравствуйте.
Я — Ваш давний подписчик и с интересом слежу за всеми новостями сайта.
Сейчас, переосмыслив работу со скользящими средними, обратил внимание и на метод Баговино. Слов нет, оказаться в начале движения — заманчиво. И Ваша интерпретация с заменой 12-й на 21-ю мне представляется логичной. И, конечно, возникло несколько вопрсов:
1. Если RSI(21) уже был выше средних на момент их пересечения, то сигнал пересечения является действительным?
2. Если сработал СТОПЛОСС, а RSI(21) >50 и EMA(5)>EMA(21) так и держатся, то возможен ли повторный вход и каковы его критерии?
3.Не великоват ли период RSI? Пока не очень понятно, что он фильтрует.Есть ли у Вас какие-либо соображения?
Заранее благодарен.Удачи Вам и вашему сайту.
ivs0708,
1) главное чтоб 2 сигнала выполнились и тогда заключаем сделку, не важно какой раньше
2) тут решать вам, я считаю что нужно дождаться нового пересечения
3) на этот момент не подскажу по периоду ни чего, так как стратегию на этот момент не тестировал
День добрый. ivs0708 попробуйте стоп ставить на третий хай\лоу от сигнальной свечи, б\у — по фибо 138\161 (от закрытия — хай\лоу), тп — 261. По поводу доливки, есть вариант с МАшками по другой ТС (пока проверяю), но т.к. ссылки выкладывать нельзя, а в двух словах объяснить не смогу ( сам еще не освоил), есть скрин, могу скинуть памятку в Word-е, но незнаю как.

Алексей можно ли Вам отправить Word на почту и прикрепить в коментарии?
Wладимир, можете скинуть мне или сделать скринт экрана с документом и прикрепить как фотографию, как вы это и сделали
Алексей, прошу Вашей помощи в данной стратегии. Я сделал все как вы написали. Но прибыли не получил:( Помогите, пожалуйста.
yra, рынок меняется иногда, потому параметры стратегии иногда нужно подбирать под текущий рынок…
Написал робота для Multicharts для проверки стратегии. Все делал так как Сергей описывал в своем видео теста стратегии. Результат выглядит конечно не так радужно. Я не исключаю что глаз опытного трейдера фильтрует какие-то сигналы. Но сам сигнал — так себе.
Нашел самые подходящие параметры

RSI-14
EMA-14
EMA-25
Но это подгонка. Проверил на GBPUSD, не идет
Фигасе, я сколько на рынке и не знал о ней. интересно.
Можно добавить вот что.
Если машки пересеклись, а рси тупит около 50 и никак не хочет прорвать, можно найти после пересечения фрактал и поставить отложник над\под ним.
На картинке понятно.
Не, картинка не хочет грузиться. Надеюсь, идея ясна.
Shaggy, картинка должна загружаться, вроде бы проверил — все ок. Может просто очень большая была, увеличил максимальный размер для загрузки.
Алексей Лобода, что-то никак, в 2 браузерах пробовал. Выбираю файл, нажимаю Загрузить, кнопка Загрузить делается черной и всё, больше никаких движений.
Странно, я только что загрузил без проблем эту же картинку: